• ClipSaver
  • dtub.ru
ClipSaver
Русские видео
  • Смешные видео
  • Приколы
  • Обзоры
  • Новости
  • Тесты
  • Спорт
  • Любовь
  • Музыка
  • Разное
Сейчас в тренде
  • Фейгин лайф
  • Три кота
  • Самвел адамян
  • А4 ютуб
  • скачать бит
  • гитара с нуля
Иностранные видео
  • Funny Babies
  • Funny Sports
  • Funny Animals
  • Funny Pranks
  • Funny Magic
  • Funny Vines
  • Funny Virals
  • Funny K-Pop
По дате По просмотрам Рейтинг
Последние добавленные видео:

form-is-a-window

  • David Karchere speaking on the Form is a Window 9 лет назад

    David Karchere speaking on the Form is a Window

    9 9 лет назад 5:23
  • What is a Windows Forms Application? 13 лет назад

    What is a Windows Forms Application?

    461 13 лет назад 8:18
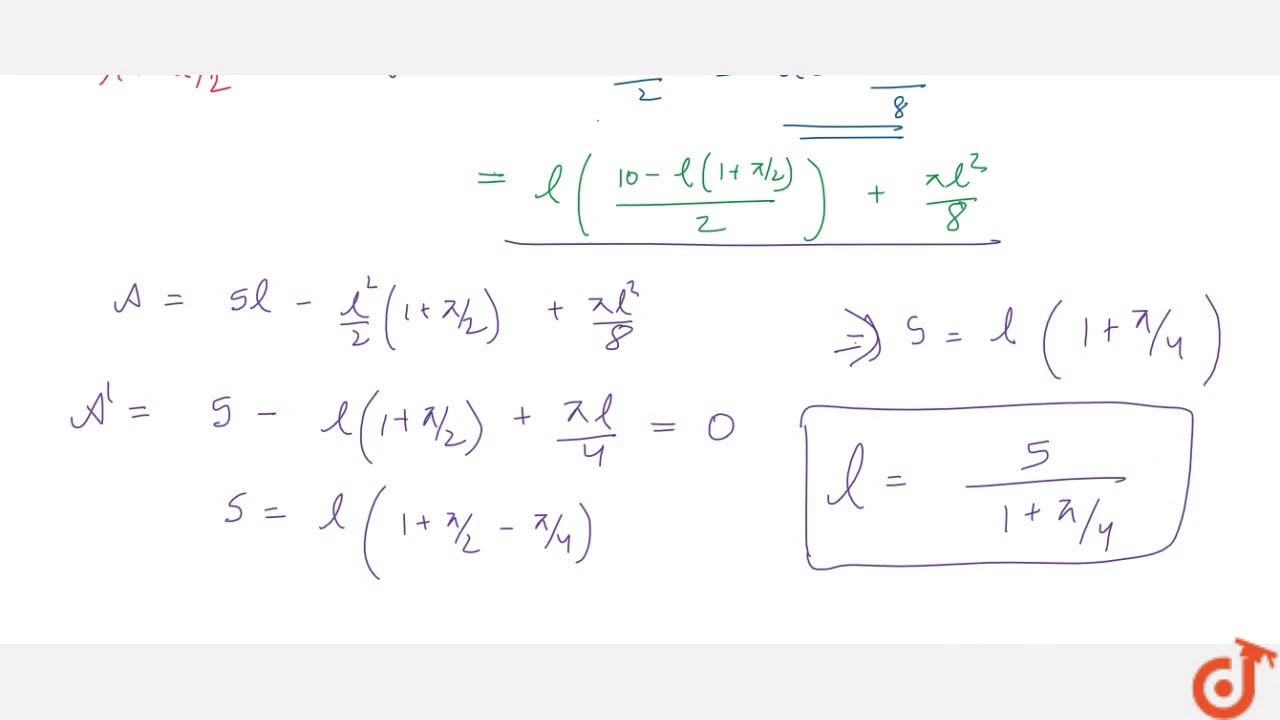
  • A Norman window has the shape of a rectangle surmounted by a semicircle. If the perimeter of the win 10 лет назад

    A Norman window has the shape of a rectangle surmounted by a semicircle. If the perimeter of the win

    188292 10 лет назад 8:31
  • WINDOW FORM 3 года назад

    WINDOW FORM

    103 3 года назад 20:17
  • A window is in the form of a rectangle above which there is a semicircle. If the perimeter of th... 2 года назад

    A window is in the form of a rectangle above which there is a semicircle. If the perimeter of th...

    339 2 года назад 7:38
  • Creating a window - Software from Scratch 1 год назад

    Creating a window - Software from Scratch

    360346 1 год назад 1:04:12
  • 5 лет назад

    "A window in the form of a rectangle is surmounted by a semi-circular opening.

    224 5 лет назад 5:54
  • A window is in the form of a rectangle surmounted by a semi circle opening. The perimeter of the 6 месяцев назад

    A window is in the form of a rectangle surmounted by a semi circle opening. The perimeter of the

    642 6 месяцев назад 13:29
  • LESSON 7: POLITE FORM - Italian Study Group 🇮🇹 (in Italian with subtitles) Трансляция закончилась 12 часов назад

    LESSON 7: POLITE FORM - Italian Study Group 🇮🇹 (in Italian with subtitles)

    2309 Трансляция закончилась 12 часов назад 1:20:10
Следующая страница»

Контактный email для правообладателей: u2beadvert@gmail.com © 2017 - 2026

Отказ от ответственности - Disclaimer Правообладателям - DMCA Условия использования сайта - TOS



Карта сайта 1 Карта сайта 2 Карта сайта 3 Карта сайта 4 Карта сайта 5