• ClipSaver
  • dtub.ru
ClipSaver
Русские видео
  • Смешные видео
  • Приколы
  • Обзоры
  • Новости
  • Тесты
  • Спорт
  • Любовь
  • Музыка
  • Разное
Сейчас в тренде
  • Фейгин лайф
  • Три кота
  • Самвел адамян
  • А4 ютуб
  • скачать бит
  • гитара с нуля
Иностранные видео
  • Funny Babies
  • Funny Sports
  • Funny Animals
  • Funny Pranks
  • Funny Magic
  • Funny Vines
  • Funny Virals
  • Funny K-Pop

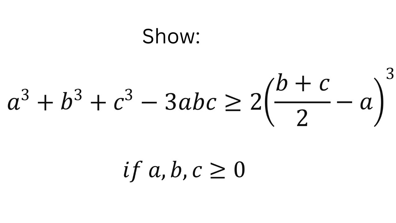
A challenging number theory problem скачать в хорошем качестве

A challenging number theory problem 3 месяца назад

скачать видео

скачать mp3

скачать mp4

поделиться

телефон с камерой

телефон с видео

бесплатно

загрузить,

Не удается загрузить Youtube-плеер. Проверьте блокировку Youtube в вашей сети.
Повторяем попытку...
A challenging number theory problem
  • Поделиться ВК
  • Поделиться в ОК
  •  
  •  


Скачать видео с ютуб по ссылке или смотреть без блокировок на сайте: A challenging number theory problem в качестве 4k

У нас вы можете посмотреть бесплатно A challenging number theory problem или скачать в максимальном доступном качестве, видео которое было загружено на ютуб. Для загрузки выберите вариант из формы ниже:

  • Информация по загрузке:

Скачать mp3 с ютуба отдельным файлом. Бесплатный рингтон A challenging number theory problem в формате MP3:


Если кнопки скачивания не загрузились НАЖМИТЕ ЗДЕСЬ или обновите страницу
Если возникают проблемы со скачиванием видео, пожалуйста напишите в поддержку по адресу внизу страницы.
Спасибо за использование сервиса ClipSaver.ru



A challenging number theory problem

Comments
  • A crazy infinite double series 3 месяца назад
    A crazy infinite double series
    Опубликовано: 3 месяца назад
  • I’d get 0 points if I did it this way | limit problem using Riemann Sum 3 месяца назад
    I’d get 0 points if I did it this way | limit problem using Riemann Sum
    Опубликовано: 3 месяца назад
  • An innocent looking problem from Calculus | Bellman-Gronwall inequality 3 месяца назад
    An innocent looking problem from Calculus | Bellman-Gronwall inequality
    Опубликовано: 3 месяца назад
  • A ridiculously tricky inequality 3 месяца назад
    A ridiculously tricky inequality
    Опубликовано: 3 месяца назад
  • Пять задачек с собеседований на теорию вероятностей 10 дней назад
    Пять задачек с собеседований на теорию вероятностей
    Опубликовано: 10 дней назад
  • Румынская математическая олимпиада 11 месяцев назад
    Румынская математическая олимпиада
    Опубликовано: 11 месяцев назад
  • ГРАФИКА для решения ПАРАМЕТРОВ. НЕ решай это аналитикой! 1 день назад
    ГРАФИКА для решения ПАРАМЕТРОВ. НЕ решай это аналитикой!
    Опубликовано: 1 день назад
  • Зачем нужна топология? 9 дней назад
    Зачем нужна топология?
    Опубликовано: 9 дней назад
  • Вся ВЫСШАЯ МАТЕМАТИКА за 12 ЧАСОВ с Нуля и до Формулы Тейлора! Математический Анализ 1-й Семестр! Трансляция закончилась 1 месяц назад
    Вся ВЫСШАЯ МАТЕМАТИКА за 12 ЧАСОВ с Нуля и до Формулы Тейлора! Математический Анализ 1-й Семестр!
    Опубликовано: Трансляция закончилась 1 месяц назад
  • ЭТО ИМБА!!! выглядит УЖАСНО, решается за 10 МИНУТ 6 дней назад
    ЭТО ИМБА!!! выглядит УЖАСНО, решается за 10 МИНУТ
    Опубликовано: 6 дней назад
  • Савватеев разоблачает фокусы Земскова 12 дней назад
    Савватеев разоблачает фокусы Земскова
    Опубликовано: 12 дней назад
  • A challenging limit problem in calculus 2 месяца назад
    A challenging limit problem in calculus
    Опубликовано: 2 месяца назад
  • Бетельгейзе уже взорвалась? 2 дня назад
    Бетельгейзе уже взорвалась?
    Опубликовано: 2 дня назад
  • Magnus Carlsen Plays The Non Sense Line 9 часов назад
    Magnus Carlsen Plays The Non Sense Line
    Опубликовано: 9 часов назад
  • Самая Сложная Задача В Истории Самой Сложной Олимпиады 1 год назад
    Самая Сложная Задача В Истории Самой Сложной Олимпиады
    Опубликовано: 1 год назад
  • Преломление и «замедление» света | По мотивам лекции Ричарда Фейнмана 2 года назад
    Преломление и «замедление» света | По мотивам лекции Ричарда Фейнмана
    Опубликовано: 2 года назад
  • Grigori Perelman documentary 11 лет назад
    Grigori Perelman documentary
    Опубликовано: 11 лет назад
  • When is it a square number? 2 года назад
    When is it a square number?
    Опубликовано: 2 года назад
  • 🧪🧪🧪🧪Как увидеть гиперпространство (4-е измерение) 2 года назад
    🧪🧪🧪🧪Как увидеть гиперпространство (4-е измерение)
    Опубликовано: 2 года назад
  • Как Ford и Китай уничтожили самую надежную машину в истории. 3 дня назад
    Как Ford и Китай уничтожили самую надежную машину в истории.
    Опубликовано: 3 дня назад

Контактный email для правообладателей: u2beadvert@gmail.com © 2017 - 2026

Отказ от ответственности - Disclaimer Правообладателям - DMCA Условия использования сайта - TOS



Карта сайта 1 Карта сайта 2 Карта сайта 3 Карта сайта 4 Карта сайта 5