• ClipSaver
  • dtub.ru
ClipSaver
Русские видео
  • Смешные видео
  • Приколы
  • Обзоры
  • Новости
  • Тесты
  • Спорт
  • Любовь
  • Музыка
  • Разное
Сейчас в тренде
  • Фейгин лайф
  • Три кота
  • Самвел адамян
  • А4 ютуб
  • скачать бит
  • гитара с нуля
Иностранные видео
  • Funny Babies
  • Funny Sports
  • Funny Animals
  • Funny Pranks
  • Funny Magic
  • Funny Vines
  • Funny Virals
  • Funny K-Pop

Вопрос 221 Решите (xy^2 - x^2)dx + (3x^2y^2 + x^2y - 2x^3 + y^2)dy = 0 скачать в хорошем качестве

Вопрос 221 Решите (xy^2 - x^2)dx + (3x^2y^2 + x^2y - 2x^3 + y^2)dy = 0 3 года назад

скачать видео

скачать mp3

скачать mp4

поделиться

телефон с камерой

телефон с видео

бесплатно

загрузить,

Не удается загрузить Youtube-плеер. Проверьте блокировку Youtube в вашей сети.
Повторяем попытку...
Вопрос 221 Решите (xy^2 - x^2)dx + (3x^2y^2 + x^2y - 2x^3 + y^2)dy = 0
  • Поделиться ВК
  • Поделиться в ОК
  •  
  •  


Скачать видео с ютуб по ссылке или смотреть без блокировок на сайте: Вопрос 221 Решите (xy^2 - x^2)dx + (3x^2y^2 + x^2y - 2x^3 + y^2)dy = 0 в качестве 4k

У нас вы можете посмотреть бесплатно Вопрос 221 Решите (xy^2 - x^2)dx + (3x^2y^2 + x^2y - 2x^3 + y^2)dy = 0 или скачать в максимальном доступном качестве, видео которое было загружено на ютуб. Для загрузки выберите вариант из формы ниже:

  • Информация по загрузке:

Скачать mp3 с ютуба отдельным файлом. Бесплатный рингтон Вопрос 221 Решите (xy^2 - x^2)dx + (3x^2y^2 + x^2y - 2x^3 + y^2)dy = 0 в формате MP3:


Если кнопки скачивания не загрузились НАЖМИТЕ ЗДЕСЬ или обновите страницу
Если возникают проблемы со скачиванием видео, пожалуйста напишите в поддержку по адресу внизу страницы.
Спасибо за использование сервиса ClipSaver.ru



Вопрос 221 Решите (xy^2 - x^2)dx + (3x^2y^2 + x^2y - 2x^3 + y^2)dy = 0

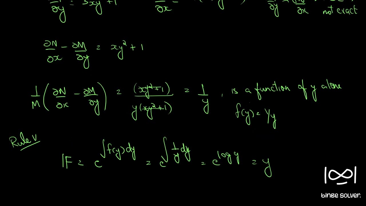
Тема: Обыкновенные дифференциальные уравнения (ОДУ) Подтема: Уравнения первого порядка и первой степени Решение уравнений в точных дифференциальных уравнениях Интегрирующий множитель Правило IV: если 1/N(∂M/∂y - ∂N/∂x) является функцией только x, например, f(x), то интегрирующий множитель (ИМ) = e^(∫ f(x)dx) Правило V: если 1/M(∂N/∂x - ∂M/∂y) является функцией только y, например, f(y), то интегрирующий множитель (ИМ) = e^(∫ f(y)dy) Q221 Решите уравнение (xy^2 - x^2)dx + (3x^2y^2 + x^2y - 2x^3 + y^2)dy = 0

Comments
  • Q222 Solve (xy^3 + y)dx + 2(x^2y^2 + x + y^4 )dy = 0 3 года назад
    Q222 Solve (xy^3 + y)dx + 2(x^2y^2 + x + y^4 )dy = 0
    Опубликовано: 3 года назад
  • Одно разложение в ряд Фурье ведёт к суммам 3 разных рядов 2 дня назад
    Одно разложение в ряд Фурье ведёт к суммам 3 разных рядов
    Опубликовано: 2 дня назад
  • ЭТУ ЗАДАЧУ ИЗ 9 КЛАССА НЕ РЕШИЛИ ДАЖЕ СТУДЕНТЫ!!! | ДИФФЕРЕНЦИАЛЬНЫЕ УРАВНЕНИЯ 9 дней назад
    ЭТУ ЗАДАЧУ ИЗ 9 КЛАССА НЕ РЕШИЛИ ДАЖЕ СТУДЕНТЫ!!! | ДИФФЕРЕНЦИАЛЬНЫЕ УРАВНЕНИЯ
    Опубликовано: 9 дней назад
  • Only Genius Students Can Solve This Integral | Integration Trick | Part 77 1 день назад
    Only Genius Students Can Solve This Integral | Integration Trick | Part 77
    Опубликовано: 1 день назад
  • (xy^2-x^2)dx+(3x^2y^2+x^2y-2x^3+y^2)dy=0 #NonExact L605 @MathsPulseChinnaiahKalpana 3 года назад
    (xy^2-x^2)dx+(3x^2y^2+x^2y-2x^3+y^2)dy=0 #NonExact L605 @MathsPulseChinnaiahKalpana
    Опубликовано: 3 года назад
  • Разрушительный спад качества, уничтожающий репутацию Omega 1 день назад
    Разрушительный спад качества, уничтожающий репутацию Omega
    Опубликовано: 1 день назад
  • Q225 Solve (y^2+2x^2y)dx + (2x^3 - xy)dy = 0 3 года назад
    Q225 Solve (y^2+2x^2y)dx + (2x^3 - xy)dy = 0
    Опубликовано: 3 года назад
  • (y^4+2y)dx+(xy^3+2y^4-4x)dy=0 #NonExact L599 @MathsPulseChinnaiahKalpana 3 года назад
    (y^4+2y)dx+(xy^3+2y^4-4x)dy=0 #NonExact L599 @MathsPulseChinnaiahKalpana
    Опубликовано: 3 года назад
  • ВС РФ отступают на юге и востоке | Россия готовит войну с НАТО | Европа хочет свою ядерную бомбу 1 час назад
    ВС РФ отступают на юге и востоке | Россия готовит войну с НАТО | Европа хочет свою ядерную бомбу
    Опубликовано: 1 час назад
  • Обманчиво сложное дифференциальное уравнение 3 года назад
    Обманчиво сложное дифференциальное уравнение
    Опубликовано: 3 года назад
  • Для Чего РЕАЛЬНО Нужен был ГОРБ Boeing 747? 3 месяца назад
    Для Чего РЕАЛЬНО Нужен был ГОРБ Boeing 747?
    Опубликовано: 3 месяца назад
  • КАК Япония Незаметно СТАЛА Мировой Станкостроительной ДЕРЖАВОЙ! 2 недели назад
    КАК Япония Незаметно СТАЛА Мировой Станкостроительной ДЕРЖАВОЙ!
    Опубликовано: 2 недели назад
  • Как решить вступительный экзамен в Стэнфордский университет | t=? 2 недели назад
    Как решить вступительный экзамен в Стэнфордский университет | t=?
    Опубликовано: 2 недели назад
  • Вот как читать дифференциальные уравнения. 10 дней назад
    Вот как читать дифференциальные уравнения.
    Опубликовано: 10 дней назад
  • Замена подшипников с КОНСКИМ ИЗНОСОМ шпинделя токарного станка 1А616 3 года назад
    Замена подшипников с КОНСКИМ ИЗНОСОМ шпинделя токарного станка 1А616
    Опубликовано: 3 года назад
  • 97,8% не смогли решить эту задачу. 1 месяц назад
    97,8% не смогли решить эту задачу.
    Опубликовано: 1 месяц назад
  • ЛОНДОН. 11 кл. КОЛЛЕДЖ ПРИ ОКСФОРДЕ. Вступительные! 11 дней назад
    ЛОНДОН. 11 кл. КОЛЛЕДЖ ПРИ ОКСФОРДЕ. Вступительные!
    Опубликовано: 11 дней назад
  • Пожалуй, главное заблуждение об электричестве [Veritasium] 4 года назад
    Пожалуй, главное заблуждение об электричестве [Veritasium]
    Опубликовано: 4 года назад
  • Задача о функциональном уравнении 4 дня назад
    Задача о функциональном уравнении
    Опубликовано: 4 дня назад
  • Два года без Навального | Почему Путин хотел выдворить его из страны (English subtitles) 2 дня назад
    Два года без Навального | Почему Путин хотел выдворить его из страны (English subtitles)
    Опубликовано: 2 дня назад

Контактный email для правообладателей: u2beadvert@gmail.com © 2017 - 2026

Отказ от ответственности - Disclaimer Правообладателям - DMCA Условия использования сайта - TOS



Карта сайта 1 Карта сайта 2 Карта сайта 3 Карта сайта 4 Карта сайта 5