• ClipSaver
  • dtub.ru
ClipSaver
Русские видео
  • Смешные видео
  • Приколы
  • Обзоры
  • Новости
  • Тесты
  • Спорт
  • Любовь
  • Музыка
  • Разное
Сейчас в тренде
  • Фейгин лайф
  • Три кота
  • Самвел адамян
  • А4 ютуб
  • скачать бит
  • гитара с нуля
Иностранные видео
  • Funny Babies
  • Funny Sports
  • Funny Animals
  • Funny Pranks
  • Funny Magic
  • Funny Vines
  • Funny Virals
  • Funny K-Pop

If y = e^x cos x, prove that dy/dx = √2 e^x cos( x+π/4) скачать в хорошем качестве

If y = e^x cos x, prove that dy/dx = √2 e^x cos( x+π/4) 2 года назад

скачать видео

скачать mp3

скачать mp4

поделиться

телефон с камерой

телефон с видео

бесплатно

загрузить,

Не удается загрузить Youtube-плеер. Проверьте блокировку Youtube в вашей сети.
Повторяем попытку...
If y = e^x cos x, prove that dy/dx = √2 e^x cos( x+π/4)
  • Поделиться ВК
  • Поделиться в ОК
  •  
  •  


Скачать видео с ютуб по ссылке или смотреть без блокировок на сайте: If y = e^x cos x, prove that dy/dx = √2 e^x cos( x+π/4) в качестве 4k

У нас вы можете посмотреть бесплатно If y = e^x cos x, prove that dy/dx = √2 e^x cos( x+π/4) или скачать в максимальном доступном качестве, видео которое было загружено на ютуб. Для загрузки выберите вариант из формы ниже:

  • Информация по загрузке:

Скачать mp3 с ютуба отдельным файлом. Бесплатный рингтон If y = e^x cos x, prove that dy/dx = √2 e^x cos( x+π/4) в формате MP3:


Если кнопки скачивания не загрузились НАЖМИТЕ ЗДЕСЬ или обновите страницу
Если возникают проблемы со скачиванием видео, пожалуйста напишите в поддержку по адресу внизу страницы.
Спасибо за использование сервиса ClipSaver.ru



If y = e^x cos x, prove that dy/dx = √2 e^x cos( x+π/4)

If y = e^x cos x, prove that dy/dx = √2 e^x cos( x+π/4)

Comments
  • If y = 1/2  log(1-cos2x/1+cos2x), prove that dy/dx = 2cosec 2x 2 года назад
    If y = 1/2 log(1-cos2x/1+cos2x), prove that dy/dx = 2cosec 2x
    Опубликовано: 2 года назад
  • Савватеев разоблачает фокусы Земскова 1 месяц назад
    Савватеев разоблачает фокусы Земскова
    Опубликовано: 1 месяц назад
  • SANAM RE Title  Song FULL VIDEO | Pulkit Samrat, Yami Gautam, Urvashi Rautela | Divya Khosla Kumar 10 лет назад
    SANAM RE Title Song FULL VIDEO | Pulkit Samrat, Yami Gautam, Urvashi Rautela | Divya Khosla Kumar
    Опубликовано: 10 лет назад
  • Wang Chuqin vs Felix Lebrun | MS SF | #WTTSingapore2026 1 день назад
    Wang Chuqin vs Felix Lebrun | MS SF | #WTTSingapore2026
    Опубликовано: 1 день назад
  • Настоящий Танкист Против Спасти Рядового Райана, Ярость, Форсаж и Других Танковых Боев Из Фильмов 2 дня назад
    Настоящий Танкист Против Спасти Рядового Райана, Ярость, Форсаж и Других Танковых Боев Из Фильмов
    Опубликовано: 2 дня назад
  • Преемник: почему власть в России не может остановиться / Наброски #224 3 дня назад
    Преемник: почему власть в России не может остановиться / Наброски #224
    Опубликовано: 3 дня назад
  • Как Саудовская Аравия финансирует ислам по всему миру? 1 день назад
    Как Саудовская Аравия финансирует ислам по всему миру?
    Опубликовано: 1 день назад
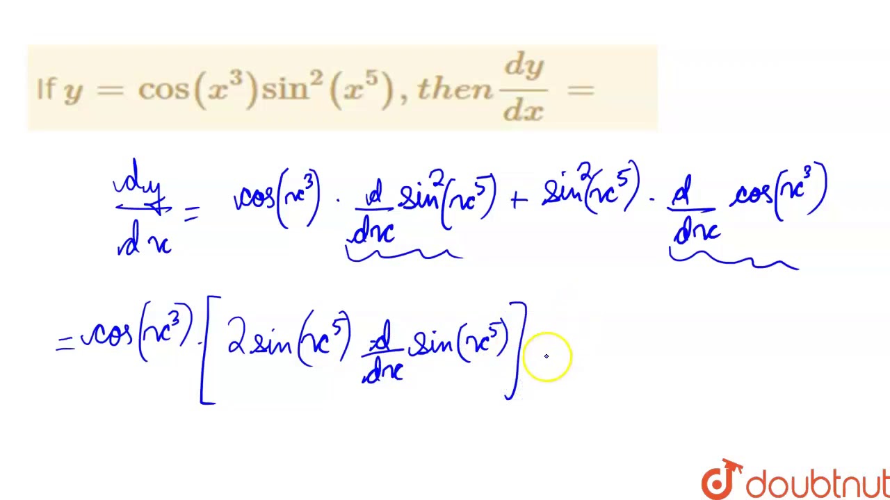
  • If ` y=cos (x^(3)) sin ^(2) (x^(5)),then (dy)/(dx) =` 5 лет назад
    If ` y=cos (x^(3)) sin ^(2) (x^(5)),then (dy)/(dx) =`
    Опубликовано: 5 лет назад
  • Константин Сивков | ИРАН: ПЕРВЫЕ ИТОГИ 1 день назад
    Константин Сивков | ИРАН: ПЕРВЫЕ ИТОГИ
    Опубликовано: 1 день назад
  • БЕТОННЫЕ КОРАБЛИ 20 ВЕКА. Секрет кораблей из камня, которые строили в Первую мировую 1 день назад
    БЕТОННЫЕ КОРАБЛИ 20 ВЕКА. Секрет кораблей из камня, которые строили в Первую мировую
    Опубликовано: 1 день назад
  • Rymanowski, Rakowski: Ryczący Lew Izraela Трансляция закончилась 3 часа назад
    Rymanowski, Rakowski: Ryczący Lew Izraela
    Опубликовано: Трансляция закончилась 3 часа назад
  • ПОРТНИКОВ: 1 день назад
    ПОРТНИКОВ: "Все может быть хуже". Что (не)так с ударом по Ирану, чего ждет Путин, Украина, МИР ВСЕ?
    Опубликовано: 1 день назад
  • КАК ЗАПОМНИТЬ ТРИГОНОМЕТРИЧЕСКИЕ ФОРМУЛЫ 3 года назад
    КАК ЗАПОМНИТЬ ТРИГОНОМЕТРИЧЕСКИЕ ФОРМУЛЫ
    Опубликовано: 3 года назад
  • Ад на Ближнем Востоке 2 дня назад
    Ад на Ближнем Востоке
    Опубликовано: 2 дня назад
  • If y=sin (sin x), prove that d^2 y/d x^2+(tan x) d y/d x+y cos ^2 x=0. 3 года назад
    If y=sin (sin x), prove that d^2 y/d x^2+(tan x) d y/d x+y cos ^2 x=0.
    Опубликовано: 3 года назад
  • Палкой в гнездо шершней. Иран отвечает 1 день назад
    Палкой в гнездо шершней. Иран отвечает
    Опубликовано: 1 день назад
  • Ванна за 50$ своими руками ОТДЕЛКА ИСПЫТАНИЕ! 1 день назад
    Ванна за 50$ своими руками ОТДЕЛКА ИСПЫТАНИЕ!
    Опубликовано: 1 день назад
  • АПНУЛИ ДО ТАНКА 11 УРОВНЯ?! FV215b - ИМБА 2026 ГОДА! 3 дня назад
    АПНУЛИ ДО ТАНКА 11 УРОВНЯ?! FV215b - ИМБА 2026 ГОДА!
    Опубликовано: 3 дня назад
  • Теперь Путин «кинул» Иран. Буданов прав. Трамп намиротворил. Иран. Дубай. Бахрейн. Кувейт. США. Трансляция закончилась 2 дня назад
    Теперь Путин «кинул» Иран. Буданов прав. Трамп намиротворил. Иран. Дубай. Бахрейн. Кувейт. США.
    Опубликовано: Трансляция закончилась 2 дня назад
  • Падение Ирана: Новая глава в истории Ближнего Востока 1 день назад
    Падение Ирана: Новая глава в истории Ближнего Востока
    Опубликовано: 1 день назад

Контактный email для правообладателей: u2beadvert@gmail.com © 2017 - 2026

Отказ от ответственности - Disclaimer Правообладателям - DMCA Условия использования сайта - TOS



Карта сайта 1 Карта сайта 2 Карта сайта 3 Карта сайта 4 Карта сайта 5