• ClipSaver
  • dtub.ru
ClipSaver
Русские видео
  • Смешные видео
  • Приколы
  • Обзоры
  • Новости
  • Тесты
  • Спорт
  • Любовь
  • Музыка
  • Разное
Сейчас в тренде
  • Фейгин лайф
  • Три кота
  • Самвел адамян
  • А4 ютуб
  • скачать бит
  • гитара с нуля
Иностранные видео
  • Funny Babies
  • Funny Sports
  • Funny Animals
  • Funny Pranks
  • Funny Magic
  • Funny Vines
  • Funny Virals
  • Funny K-Pop

Comment construire la matrice d'une application linéaire ? скачать в хорошем качестве

Comment construire la matrice d'une application linéaire ? 10 месяцев назад

скачать видео

скачать mp3

скачать mp4

поделиться

телефон с камерой

телефон с видео

бесплатно

загрузить,

Не удается загрузить Youtube-плеер. Проверьте блокировку Youtube в вашей сети.
Повторяем попытку...
Comment construire la matrice d'une application linéaire ?
  • Поделиться ВК
  • Поделиться в ОК
  •  
  •  


Скачать видео с ютуб по ссылке или смотреть без блокировок на сайте: Comment construire la matrice d'une application linéaire ? в качестве 4k

У нас вы можете посмотреть бесплатно Comment construire la matrice d'une application linéaire ? или скачать в максимальном доступном качестве, видео которое было загружено на ютуб. Для загрузки выберите вариант из формы ниже:

  • Информация по загрузке:

Скачать mp3 с ютуба отдельным файлом. Бесплатный рингтон Comment construire la matrice d'une application linéaire ? в формате MP3:


Если кнопки скачивания не загрузились НАЖМИТЕ ЗДЕСЬ или обновите страницу
Если возникают проблемы со скачиванием видео, пожалуйста напишите в поддержку по адресу внизу страницы.
Спасибо за использование сервиса ClipSaver.ru



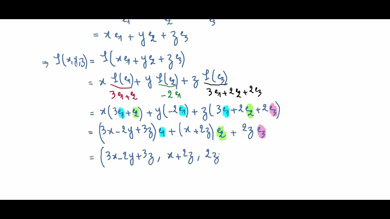
Comment construire la matrice d'une application linéaire ?

La définition de la matrice d'une application linéaire avec des exemples et un exercice explicatif.

Comments
  • Exercice sur les matrices semblables - Partie 1 10 месяцев назад
    Exercice sur les matrices semblables - Partie 1
    Опубликовано: 10 месяцев назад
  • Exercice sur les matrices semblables - Partie 2 10 месяцев назад
    Exercice sur les matrices semblables - Partie 2
    Опубликовано: 10 месяцев назад
  • Exercice sur les matrices semblables - Partie 3 10 месяцев назад
    Exercice sur les matrices semblables - Partie 3
    Опубликовано: 10 месяцев назад
  • Exercice sur les applications linéaires avec les polynômes - Partie 1/2 1 год назад
    Exercice sur les applications linéaires avec les polynômes - Partie 1/2
    Опубликовано: 1 год назад
  • 106- Matrice d'un projecteur, changement de base - #maths #mathsup #mathspé 2 года назад
    106- Matrice d'un projecteur, changement de base - #maths #mathsup #mathspé
    Опубликовано: 2 года назад
  • Comment montrer qu'une matrice est diagonalisable ? 3 месяца назад
    Comment montrer qu'une matrice est diagonalisable ?
    Опубликовано: 3 месяца назад
  • Суть линейной алгебры: #13. Смена базиса [3Blue1Brown] 9 лет назад
    Суть линейной алгебры: #13. Смена базиса [3Blue1Brown]
    Опубликовано: 9 лет назад
  • ОПЯТЬ ЧИТЕР! Ян Непомнящий против Читера 18 часов назад
    ОПЯТЬ ЧИТЕР! Ян Непомнящий против Читера
    Опубликовано: 18 часов назад
  • Собственные векторы и собственные значения | Глава 14. Сущность линейной алгебры 9 лет назад
    Собственные векторы и собственные значения | Глава 14. Сущность линейной алгебры
    Опубликовано: 9 лет назад
  • Преподы в ШОКЕ! ИЛЬИЧ получил 2 БАЛЛА за неравенство на ЕГЭ2024 1 год назад
    Преподы в ШОКЕ! ИЛЬИЧ получил 2 БАЛЛА за неравенство на ЕГЭ2024
    Опубликовано: 1 год назад
  • Странности Кремля и Буданов 2 часа назад
    Странности Кремля и Буданов
    Опубликовано: 2 часа назад
  • Суть линейной алгебры: #7. Обратные матрицы, пространство столбцов и нуль-пространство 9 лет назад
    Суть линейной алгебры: #7. Обратные матрицы, пространство столбцов и нуль-пространство
    Опубликовано: 9 лет назад
  • Comment trouver l'expression analytique d'un endomorphisme. Rang d'un endomorphisme. Partie 1/3 1 год назад
    Comment trouver l'expression analytique d'un endomorphisme. Rang d'un endomorphisme. Partie 1/3
    Опубликовано: 1 год назад
  • La réaction inattendue de Jim Carrey aux César 2026 1 день назад
    La réaction inattendue de Jim Carrey aux César 2026
    Опубликовано: 1 день назад
  • Exercice sur les applications linéaires avec les polynômes - Partie 2/2 1 год назад
    Exercice sur les applications linéaires avec les polynômes - Partie 2/2
    Опубликовано: 1 год назад
  • Задача из вступительных Стэнфорда 3 года назад
    Задача из вступительных Стэнфорда
    Опубликовано: 3 года назад
  • Comment trouver l'expression analytique d'un endomorphisme. Rang d'un endomorphisme. Partie 3/3 1 год назад
    Comment trouver l'expression analytique d'un endomorphisme. Rang d'un endomorphisme. Partie 3/3
    Опубликовано: 1 год назад
  • Музыка для работы за компьютером | Фоновая музыка для концентрации и продуктивности 6 месяцев назад
    Музыка для работы за компьютером | Фоновая музыка для концентрации и продуктивности
    Опубликовано: 6 месяцев назад
  • Самая Сложная Задача В Истории Самой Сложной Олимпиады 1 год назад
    Самая Сложная Задача В Истории Самой Сложной Олимпиады
    Опубликовано: 1 год назад
  • Суть линейной алгебры: #6. Определитель 9 лет назад
    Суть линейной алгебры: #6. Определитель
    Опубликовано: 9 лет назад

Контактный email для правообладателей: u2beadvert@gmail.com © 2017 - 2026

Отказ от ответственности - Disclaimer Правообладателям - DMCA Условия использования сайта - TOS



Карта сайта 1 Карта сайта 2 Карта сайта 3 Карта сайта 4 Карта сайта 5