• ClipSaver
  • dtub.ru
ClipSaver
Русские видео
  • Смешные видео
  • Приколы
  • Обзоры
  • Новости
  • Тесты
  • Спорт
  • Любовь
  • Музыка
  • Разное
Сейчас в тренде
  • Фейгин лайф
  • Три кота
  • Самвел адамян
  • А4 ютуб
  • скачать бит
  • гитара с нуля
Иностранные видео
  • Funny Babies
  • Funny Sports
  • Funny Animals
  • Funny Pranks
  • Funny Magic
  • Funny Vines
  • Funny Virals
  • Funny K-Pop

A surprising integral result скачать в хорошем качестве

A surprising integral result 1 год назад

скачать видео

скачать mp3

скачать mp4

поделиться

телефон с камерой

телефон с видео

бесплатно

загрузить,

Не удается загрузить Youtube-плеер. Проверьте блокировку Youtube в вашей сети.
Повторяем попытку...
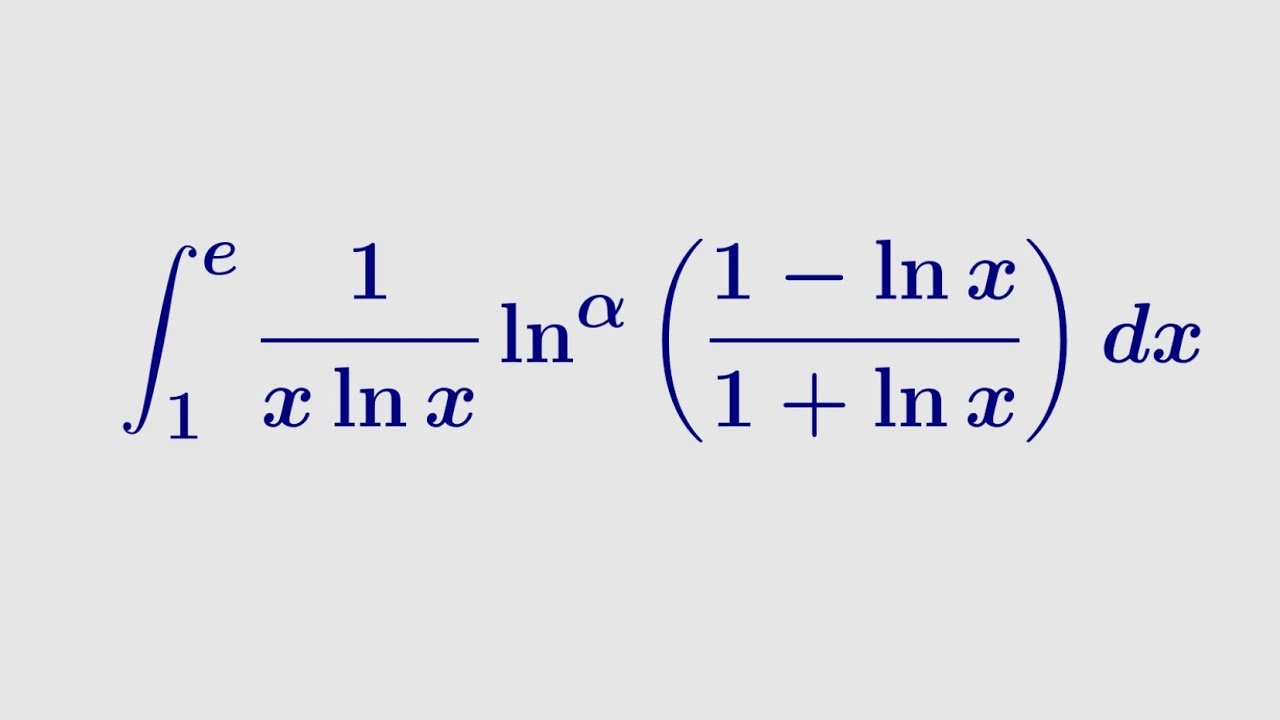
A surprising integral result
  • Поделиться ВК
  • Поделиться в ОК
  •  
  •  


Скачать видео с ютуб по ссылке или смотреть без блокировок на сайте: A surprising integral result в качестве 4k

У нас вы можете посмотреть бесплатно A surprising integral result или скачать в максимальном доступном качестве, видео которое было загружено на ютуб. Для загрузки выберите вариант из формы ниже:

  • Информация по загрузке:

Скачать mp3 с ютуба отдельным файлом. Бесплатный рингтон A surprising integral result в формате MP3:


Если кнопки скачивания не загрузились НАЖМИТЕ ЗДЕСЬ или обновите страницу
Если возникают проблемы со скачиванием видео, пожалуйста напишите в поддержку по адресу внизу страницы.
Спасибо за использование сервиса ClipSaver.ru



A surprising integral result

Exploring a generalized integration result for certain functions with a cool example towards the end. My complex analysis lectures:    • Complex Analysis Lectures   If you like the videos and would like to support the channel:   / maths505   You can follow me on Instagram for write ups that come in handy for my videos and DM me in case you need math help: https://instagram.com/maths.505?igshi... My LinkedIn:   / kamaal-mirza-86b380252   Advanced MathWear: https://my-store-ef6c0f.creator-sprin...

Comments
  • A quick fascinating approach to the mellin transform of sin(x) 2 года назад
    A quick fascinating approach to the mellin transform of sin(x)
    Опубликовано: 2 года назад
  • Chiny pozwolą ZDEPTAĆ POLSKĘ?! Chyba, że BĘDĄ MUSIAŁY z nami współpracować?! Prof. Bogdan Góralczyk 9 часов назад
    Chiny pozwolą ZDEPTAĆ POLSKĘ?! Chyba, że BĘDĄ MUSIAŁY z nami współpracować?! Prof. Bogdan Góralczyk
    Опубликовано: 9 часов назад
  • UJAWNIAM: Bezprawny dług UE. Dokumenty nie kłamią [ANALIZA PRAWNA] 5 часов назад
    UJAWNIAM: Bezprawny dług UE. Dokumenty nie kłamią [ANALIZA PRAWNA]
    Опубликовано: 5 часов назад
  • A WILD integral with a beautiful result! 1 год назад
    A WILD integral with a beautiful result!
    Опубликовано: 1 год назад
  • Is this integral too complex for Feynman's technique??? 2 года назад
    Is this integral too complex for Feynman's technique???
    Опубликовано: 2 года назад
  • Periodic Signals Explained | Continuous & Discrete Time 4 дня назад
    Periodic Signals Explained | Continuous & Discrete Time
    Опубликовано: 4 дня назад
  • A RIDICULOUSLY AWESOME INTEGRAL! 1 год назад
    A RIDICULOUSLY AWESOME INTEGRAL!
    Опубликовано: 1 год назад
  • A deceivingly difficult integral 1 год назад
    A deceivingly difficult integral
    Опубликовано: 1 год назад
  • Обзор курса математического анализа 1 — Самые полезные советы по математическому анализу 1! | Инт... 5 месяцев назад
    Обзор курса математического анализа 1 — Самые полезные советы по математическому анализу 1! | Инт...
    Опубликовано: 5 месяцев назад
  • Integration using the Gamma function
    Integration using the Gamma function
    Опубликовано:
  • IMPOSSIBLE INTEGRAL? Here's how to solve it and its properties 1 год назад
    IMPOSSIBLE INTEGRAL? Here's how to solve it and its properties
    Опубликовано: 1 год назад
  • Классное нелинейное уравнение в частных производных 4 месяца назад
    Классное нелинейное уравнение в частных производных
    Опубликовано: 4 месяца назад
  • Differential Equations
    Differential Equations
    Опубликовано:
  • Choosing the right contour feat an airy integral 1 день назад
    Choosing the right contour feat an airy integral
    Опубликовано: 1 день назад
  • Amazing🔴Dang Qiu vs Felix Lebrun Highlights Singapore Smash 9 часов назад
    Amazing🔴Dang Qiu vs Felix Lebrun Highlights Singapore Smash
    Опубликовано: 9 часов назад
  • Жесткий интегральный подход с удовлетворительным результатом! 4 дня назад
    Жесткий интегральный подход с удовлетворительным результатом!
    Опубликовано: 4 дня назад
  • Фейнман разрушает идею Бога 1 день назад
    Фейнман разрушает идею Бога
    Опубликовано: 1 день назад
  • Rosjanie, wasza wojna trwa już 4 lata, wszystko idzie zgodnie z planem? 8 часов назад
    Rosjanie, wasza wojna trwa już 4 lata, wszystko idzie zgodnie z planem?
    Опубликовано: 8 часов назад
  • Интеграция Фейнмана невероятно мощна! 4 месяца назад
    Интеграция Фейнмана невероятно мощна!
    Опубликовано: 4 месяца назад
  • Этот результат ФАНТАСТИЧЕСКИЙ 4 месяца назад
    Этот результат ФАНТАСТИЧЕСКИЙ
    Опубликовано: 4 месяца назад

Контактный email для правообладателей: u2beadvert@gmail.com © 2017 - 2026

Отказ от ответственности - Disclaimer Правообладателям - DMCA Условия использования сайта - TOS



Карта сайта 1 Карта сайта 2 Карта сайта 3 Карта сайта 4 Карта сайта 5