• ClipSaver
  • dtub.ru
ClipSaver
Русские видео
  • Смешные видео
  • Приколы
  • Обзоры
  • Новости
  • Тесты
  • Спорт
  • Любовь
  • Музыка
  • Разное
Сейчас в тренде
  • Фейгин лайф
  • Три кота
  • Самвел адамян
  • А4 ютуб
  • скачать бит
  • гитара с нуля
Иностранные видео
  • Funny Babies
  • Funny Sports
  • Funny Animals
  • Funny Pranks
  • Funny Magic
  • Funny Vines
  • Funny Virals
  • Funny K-Pop

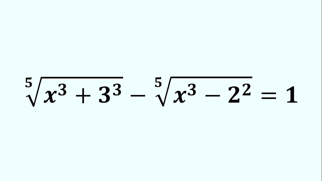
Want to Ace Algebra? AVOID These Common Pitfalls скачать в хорошем качестве

Want to Ace Algebra? AVOID These Common Pitfalls 1 год назад

скачать видео

скачать mp3

скачать mp4

поделиться

телефон с камерой

телефон с видео

бесплатно

загрузить,

Не удается загрузить Youtube-плеер. Проверьте блокировку Youtube в вашей сети.
Повторяем попытку...
Want to Ace Algebra? AVOID These Common Pitfalls
  • Поделиться ВК
  • Поделиться в ОК
  •  
  •  


Скачать видео с ютуб по ссылке или смотреть без блокировок на сайте: Want to Ace Algebra? AVOID These Common Pitfalls в качестве 4k

У нас вы можете посмотреть бесплатно Want to Ace Algebra? AVOID These Common Pitfalls или скачать в максимальном доступном качестве, видео которое было загружено на ютуб. Для загрузки выберите вариант из формы ниже:

  • Информация по загрузке:

Скачать mp3 с ютуба отдельным файлом. Бесплатный рингтон Want to Ace Algebra? AVOID These Common Pitfalls в формате MP3:


Если кнопки скачивания не загрузились НАЖМИТЕ ЗДЕСЬ или обновите страницу
Если возникают проблемы со скачиванием видео, пожалуйста напишите в поддержку по адресу внизу страницы.
Спасибо за использование сервиса ClipSaver.ru



Want to Ace Algebra? AVOID These Common Pitfalls

Want to Ace Algebra? AVOID These Common Pitfalls Welcome to InfyGyan! In this algebraic video a simple and effective techniques for solving rational equations are explained in an easy-to-understand way, making this video an excellent resource for beginners looking to build a strong foundation in algebra. This video breaks down complex concepts into manageable steps, ensuring viewers can confidently tackle rational equations with newfound ease. Watch as we break down the steps to solve this equation, providing clear explanations and tips along the way. Whether you're a math enthusiast or a student aiming to excel in Olympiad competitions, this video will help you understand and master rational equations. Don't forget to like, comment, and subscribe for more math challenges and solutions. Happy solving! In this tutorial, you'll learn: 1- Fundamental concepts and definitions of rational equations 2- Step-by-step methods to solve rational equation 3- Common pitfalls and how to avoid them 4- Expert tips and tricks for solving problems quickly and accurately 5- Practice problem with detailed solution Additional Resources:    • Math Olympiad Secrets: Excelling in Ration...      • Ready for a Math Challenge? Try Solving Th...      • Conquer a Difficult Rational Equation | Ol...      • Overcoming Rational Equation Hurdles | Mat...   #matholympiad #rationalequations #mathtutorial #substitution #math #mathskills #learnmath #education #algebra Join us as we unlock the secrets to excelling in rational equations and take your Math Olympiad prep to the next level. Don't forget to like, subscribe, and hit the bell icon for more Math Olympiad prep videos. Let's conquer those equations together! Thanks for Watching!!

Comments
  • Essential Radical Math Hacks Everyone Needs to Know! | Algebra 1 год назад
    Essential Radical Math Hacks Everyone Needs to Know! | Algebra
    Опубликовано: 1 год назад
  • Сможете ли вы решить это радикальное уравнение? | Задача по алгебре 1 год назад
    Сможете ли вы решить это радикальное уравнение? | Задача по алгебре
    Опубликовано: 1 год назад
  • Сможете ли вы решить сложную систему уравнений? | Математическая олимпиада 4 месяца назад
    Сможете ли вы решить сложную систему уравнений? | Математическая олимпиада
    Опубликовано: 4 месяца назад
  • Harvard University Interview Tricks 1 год назад
    Harvard University Interview Tricks
    Опубликовано: 1 год назад
  • ОЛИМПИЯ ПО МАТЕМАТИКЕ 10 месяцев назад
    ОЛИМПИЯ ПО МАТЕМАТИКЕ
    Опубликовано: 10 месяцев назад
  • A Mind-Blowing Algebra Equation | Find All 6 Solutions 6 месяцев назад
    A Mind-Blowing Algebra Equation | Find All 6 Solutions
    Опубликовано: 6 месяцев назад
  • Фредериксен:  взяли и снесли. Как Дания в одиночку перекроила всю миграционную политику Европы 11 дней назад
    Фредериксен: взяли и снесли. Как Дания в одиночку перекроила всю миграционную политику Европы
    Опубликовано: 11 дней назад
  • A Very Nice Square Root Problem | Can you solve this? | Math Olympiad Mathematics 1 день назад
    A Very Nice Square Root Problem | Can you solve this? | Math Olympiad Mathematics
    Опубликовано: 1 день назад
  • Вот почему следует ЗАПРЕТИТЬ формулу ДИСКРИМИНАНТА 1 год назад
    Вот почему следует ЗАПРЕТИТЬ формулу ДИСКРИМИНАНТА
    Опубликовано: 1 год назад
  • Как спасти свою пешку и шансы на победу? 1 месяц назад
    Как спасти свою пешку и шансы на победу?
    Опубликовано: 1 месяц назад
  • Накажи ЖЁСТКО противника за попытку поставить детский мат! 1 год назад
    Накажи ЖЁСТКО противника за попытку поставить детский мат!
    Опубликовано: 1 год назад
  • Самая Сложная Задача В Истории Самой Сложной Олимпиады 1 год назад
    Самая Сложная Задача В Истории Самой Сложной Олимпиады
    Опубликовано: 1 год назад
  • Хитрости собеседования в Гарвардском университете. 3 месяца назад
    Хитрости собеседования в Гарвардском университете.
    Опубликовано: 3 месяца назад
  • РАЗБОР ЗАДАЧЕК ИЗ КНИГИ ЗЕМСКОВА! 7 дней назад
    РАЗБОР ЗАДАЧЕК ИЗ КНИГИ ЗЕМСКОВА!
    Опубликовано: 7 дней назад
  • ДЕБЮТ ПОНЦИАНИ! ЛУЧШИЙ ДЕБЮТ В МИРЕ! +100 пунктов рейтинга! 2 года назад
    ДЕБЮТ ПОНЦИАНИ! ЛУЧШИЙ ДЕБЮТ В МИРЕ! +100 пунктов рейтинга!
    Опубликовано: 2 года назад
  • Two Different Tricks to Solve This Scary Radical Equation! 4 дня назад
    Two Different Tricks to Solve This Scary Radical Equation!
    Опубликовано: 4 дня назад
  • Russian Math Olympiad Algebra Question l Advanced Maths For Competitive Exams l olympiad 7 дней назад
    Russian Math Olympiad Algebra Question l Advanced Maths For Competitive Exams l olympiad
    Опубликовано: 7 дней назад
  • Слепые зоны шахматиста: почему вы пропускаете угрозы и как это исправить? 3 дня назад
    Слепые зоны шахматиста: почему вы пропускаете угрозы и как это исправить?
    Опубликовано: 3 дня назад
  • An Amazing Algebra Problem | Give It A Try! 10 месяцев назад
    An Amazing Algebra Problem | Give It A Try!
    Опубликовано: 10 месяцев назад
  • Сможете ли вы разгадать эту сложную математическую головоломку? | AIME 1 день назад
    Сможете ли вы разгадать эту сложную математическую головоломку? | AIME
    Опубликовано: 1 день назад

Контактный email для правообладателей: u2beadvert@gmail.com © 2017 - 2026

Отказ от ответственности - Disclaimer Правообладателям - DMCA Условия использования сайта - TOS



Карта сайта 1 Карта сайта 2 Карта сайта 3 Карта сайта 4 Карта сайта 5