• ClipSaver
  • dtub.ru
ClipSaver
Русские видео
  • Смешные видео
  • Приколы
  • Обзоры
  • Новости
  • Тесты
  • Спорт
  • Любовь
  • Музыка
  • Разное
Сейчас в тренде
  • Фейгин лайф
  • Три кота
  • Самвел адамян
  • А4 ютуб
  • скачать бит
  • гитара с нуля
Иностранные видео
  • Funny Babies
  • Funny Sports
  • Funny Animals
  • Funny Pranks
  • Funny Magic
  • Funny Vines
  • Funny Virals
  • Funny K-Pop

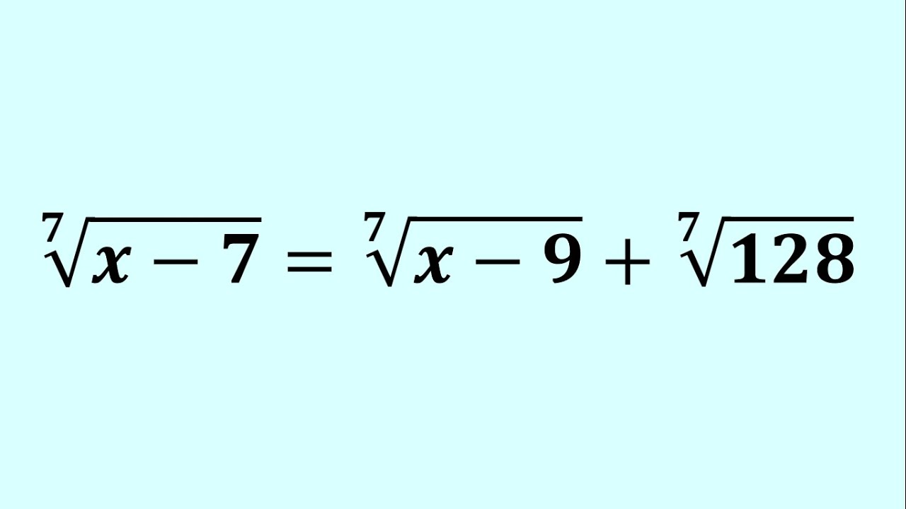
3 Mind Blowing Math Olympiad Secrets You Need to Know Now скачать в хорошем качестве

3 Mind Blowing Math Olympiad Secrets You Need to Know Now 1 год назад

скачать видео

скачать mp3

скачать mp4

поделиться

телефон с камерой

телефон с видео

бесплатно

загрузить,

Не удается загрузить Youtube-плеер. Проверьте блокировку Youtube в вашей сети.
Повторяем попытку...
3 Mind Blowing Math Olympiad Secrets You Need to Know Now
  • Поделиться ВК
  • Поделиться в ОК
  •  
  •  


Скачать видео с ютуб по ссылке или смотреть без блокировок на сайте: 3 Mind Blowing Math Olympiad Secrets You Need to Know Now в качестве 4k

У нас вы можете посмотреть бесплатно 3 Mind Blowing Math Olympiad Secrets You Need to Know Now или скачать в максимальном доступном качестве, видео которое было загружено на ютуб. Для загрузки выберите вариант из формы ниже:

  • Информация по загрузке:

Скачать mp3 с ютуба отдельным файлом. Бесплатный рингтон 3 Mind Blowing Math Olympiad Secrets You Need to Know Now в формате MP3:


Если кнопки скачивания не загрузились НАЖМИТЕ ЗДЕСЬ или обновите страницу
Если возникают проблемы со скачиванием видео, пожалуйста напишите в поддержку по адресу внизу страницы.
Спасибо за использование сервиса ClipSaver.ru



3 Mind Blowing Math Olympiad Secrets You Need to Know Now

3 Mind Blowing Math Olympiad Secrets You Need to Know Now Welcome to infyGyan! In this algebraic video, we explore an intriguing radical equation that’s sure to challenge our algebraic skills. This problem is an excellent exercise for anyone preparing for Math Olympiad or simply looking to deepen their understanding of advanced algebra. Follow along as we break down the steps to solve this complex equation, and try to solve it yourself before we reveal the solution. Perfect for students and math enthusiasts alike!. If you enjoy tackling challenging math problems, be sure to like, share, and subscribe for more content like this! 📌 Topics Covered: Radical equations Problem-solving strategies Factorization Binomial expansion Substitution Quadratic equations Pascal triangle Algebraic identities Real solutions Verification Additional Resources:    • The BEST Radical Math Tricks to Ace the Ch...      • A Mind Blowing Radical Equation | Give It ...      • Are You Smart Enough to Crack this Rationa...      • A Nice Radical Equation Challenge | Can Yo...      • Are You Smart Enough to Crack this Radical...      • What Happens When You Solve This Math Prob...   #math #radicalequation #algebra #problemsolving #education #matholympiad #matholympiadpreparation #tutorial #quadraticequations 🔔 Don't forget to subscribe and hit the bell icon to stay updated with our latest math challenges and tutorials. If you enjoy the video, please give it a thumbs up and share it with your friends! 💬 Comment below if you have any questions or if you were able to solve the problem. We love hearing from our viewers! Thank you for watching videos and happy problem-solving!

Comments
  • A Nice Math Olympiad Algebra Problem | 3 Powerful Methods 1 год назад
    A Nice Math Olympiad Algebra Problem | 3 Powerful Methods
    Опубликовано: 1 год назад
  • Интересная задача по алгебре | Попробуйте! 1 год назад
    Интересная задача по алгебре | Попробуйте!
    Опубликовано: 1 год назад
  • Можете ли вы решить это УРАВНЕНИЕ ОЛИМПИАДЫ ВЫСШЕГО УРОВНЯ? 1 месяц назад
    Можете ли вы решить это УРАВНЕНИЕ ОЛИМПИАДЫ ВЫСШЕГО УРОВНЯ?
    Опубликовано: 1 месяц назад
  • 3 to (x/2) = 12, many don’t know where to start 1 год назад
    3 to (x/2) = 12, many don’t know where to start
    Опубликовано: 1 год назад
  • Экзамен для поступления в Оксфорд | Упрощенное объяснение сложного радикального алгебраического в... 2 недели назад
    Экзамен для поступления в Оксфорд | Упрощенное объяснение сложного радикального алгебраического в...
    Опубликовано: 2 недели назад
  • Mind-Blowing System of Equations | Ecuador Math Olympiad 18 часов назад
    Mind-Blowing System of Equations | Ecuador Math Olympiad
    Опубликовано: 18 часов назад
  • ЗАВАЛЬНОЕ УРАВНЕНИЕ!  РЕШАЕТ 8-КЛАССНИЦА! 11 дней назад
    ЗАВАЛЬНОЕ УРАВНЕНИЕ! РЕШАЕТ 8-КЛАССНИЦА!
    Опубликовано: 11 дней назад
  • You Won't Believe the Simplest Way to Solve This Tricky Math Problem 5 месяцев назад
    You Won't Believe the Simplest Way to Solve This Tricky Math Problem
    Опубликовано: 5 месяцев назад
  • ПРОСТЫЕ МАТЕМАТИЧЕСКИЕ ПРИЕМЫ, которые вам нужно знать!! 1 год назад
    ПРОСТЫЕ МАТЕМАТИЧЕСКИЕ ПРИЕМЫ, которые вам нужно знать!!
    Опубликовано: 1 год назад
  • Как муж решил жену проверить! Сборник свежих анекдотов! Юмор! 4 дня назад
    Как муж решил жену проверить! Сборник свежих анекдотов! Юмор!
    Опубликовано: 4 дня назад
  • Назад, в 90-е? “Ошалелый” мир. Дефицит рыбы. Опять об отмене пенсий. Экономика за 1001 секунду 14 часов назад
    Назад, в 90-е? “Ошалелый” мир. Дефицит рыбы. Опять об отмене пенсий. Экономика за 1001 секунду
    Опубликовано: 14 часов назад
  • Можете ли вы найти наибольший корень этого алгебраического уравнения? 2 месяца назад
    Можете ли вы найти наибольший корень этого алгебраического уравнения?
    Опубликовано: 2 месяца назад
  • 98% не смогли решить эту геометрическую задачу | 3 потрясающих метода 10 дней назад
    98% не смогли решить эту геометрическую задачу | 3 потрясающих метода
    Опубликовано: 10 дней назад
  • Румынская математическая олимпиада 10 месяцев назад
    Румынская математическая олимпиада
    Опубликовано: 10 месяцев назад
  • А вы сможете решить Олимпиадную задачу из СССР? 2 месяца назад
    А вы сможете решить Олимпиадную задачу из СССР?
    Опубликовано: 2 месяца назад
  • Сможете решить Олимпиадное задание 13 дней назад
    Сможете решить Олимпиадное задание
    Опубликовано: 13 дней назад
  • Для Чего РЕАЛЬНО Нужен был ГОРБ Boeing 747? 2 месяца назад
    Для Чего РЕАЛЬНО Нужен был ГОРБ Boeing 747?
    Опубликовано: 2 месяца назад
  • Outstanding Algebra Problem | Harvard-MIT Math Tournament 2025 2 недели назад
    Outstanding Algebra Problem | Harvard-MIT Math Tournament 2025
    Опубликовано: 2 недели назад
  • Master Radical Math with This ONE Simple Technique! 1 год назад
    Master Radical Math with This ONE Simple Technique!
    Опубликовано: 1 год назад
  • Достаточно ли вы умны, чтобы поступить в Гарвард-MIT? 1 месяц назад
    Достаточно ли вы умны, чтобы поступить в Гарвард-MIT?
    Опубликовано: 1 месяц назад

Контактный email для правообладателей: u2beadvert@gmail.com © 2017 - 2026

Отказ от ответственности - Disclaimer Правообладателям - DMCA Условия использования сайта - TOS



Карта сайта 1 Карта сайта 2 Карта сайта 3 Карта сайта 4 Карта сайта 5