• ClipSaver
  • dtub.ru
ClipSaver
Русские видео
  • Смешные видео
  • Приколы
  • Обзоры
  • Новости
  • Тесты
  • Спорт
  • Любовь
  • Музыка
  • Разное
Сейчас в тренде
  • Фейгин лайф
  • Три кота
  • Самвел адамян
  • А4 ютуб
  • скачать бит
  • гитара с нуля
Иностранные видео
  • Funny Babies
  • Funny Sports
  • Funny Animals
  • Funny Pranks
  • Funny Magic
  • Funny Vines
  • Funny Virals
  • Funny K-Pop

Lineer Momentum Örnek 1 скачать в хорошем качестве

Lineer Momentum Örnek 1 7 лет назад

скачать видео

скачать mp3

скачать mp4

поделиться

телефон с камерой

телефон с видео

бесплатно

загрузить,

Не удается загрузить Youtube-плеер. Проверьте блокировку Youtube в вашей сети.
Повторяем попытку...
Lineer Momentum Örnek 1
  • Поделиться ВК
  • Поделиться в ОК
  •  
  •  


Скачать видео с ютуб по ссылке или смотреть без блокировок на сайте: Lineer Momentum Örnek 1 в качестве 4k

У нас вы можете посмотреть бесплатно Lineer Momentum Örnek 1 или скачать в максимальном доступном качестве, видео которое было загружено на ютуб. Для загрузки выберите вариант из формы ниже:

  • Информация по загрузке:

Скачать mp3 с ютуба отдельным файлом. Бесплатный рингтон Lineer Momentum Örnek 1 в формате MP3:


Если кнопки скачивания не загрузились НАЖМИТЕ ЗДЕСЬ или обновите страницу
Если возникают проблемы со скачиванием видео, пожалуйста напишите в поддержку по адресу внизу страницы.
Спасибо за использование сервиса ClipSaver.ru



Lineer Momentum Örnek 1

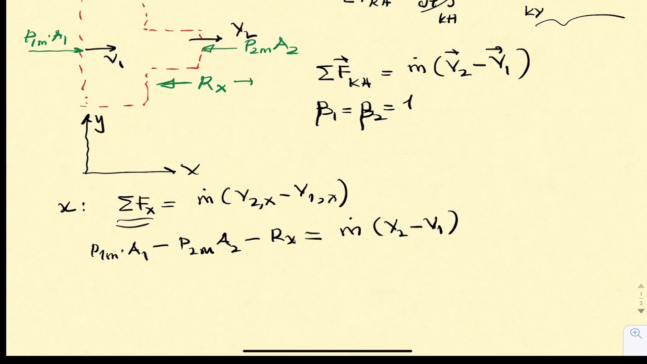
Bu örnekte, bir borunun çıkış ağzına takılan daha küçük çaplı bir daralma parçasına suyun uyguladığı kuvvet lineer momentum denklemi (Newton'un İkinci Yasası) uygulanarak hesaplanmaktadır. Akış sırasında daralma bölgesinde su ile parçanın iç çeperleri arasındaki etkileşim sonucu ortaya çıkan reaksiyon kuvvetinin yanı sıra, parçayı yerinde tutmak için gerekli kuvvetin de hesaplanması gösterilmektedir. Problem üç yönüyle önemlidir: 1. Reaksiyon kuvveti ile yerinde tutmak için gerekli kuvvetler her zaman aynı olmayabilir. Nitekim bu örnekte durum böyledir. 2. Reaksiyon kuvvetinin hesaplanmasında teçhizatın dışındaki atmosfer basıncının (ya da dış basınç farklı ise, bu basıncın) etkisinin dikkate alınması gerekmektedir. Atmosfer basıncına maruz sistemlerde reaksiyon kuvveti hesaplaması yapılırken, kontrol hacmine giriş ve çıkışlarda "mutlak basınç" ile çalışılması gerekir. 3. Yerinde tutma (ankraj) kuvvetinin hesabına ise, çoğunlukla kontrol hacminin tüm yüzeyleri atmosfer basıncı altında olduğundan, etkin (gösterge, efektif) basınç ile çalışılması, atmosfer basıncı etkilerini dolaylı olarak hesaba katar ve sadelik sağlar. Bu nedenle etkin basınç ile çalışmanızı öneriyorum. Örnek ile ilgili soru ve görüşlerinizi yorum yoluyla paylaşabilir, kanalımıza abone olarak sürekli güncellenen içeriklerimizden anında haberdar olabilirsiniz.

Comments
  • 2018 Final Sınavı Çözüm #4 7 лет назад
    2018 Final Sınavı Çözüm #4
    Опубликовано: 7 лет назад
  • BERNOULLI DENKLEMİ 7 лет назад
    BERNOULLI DENKLEMİ
    Опубликовано: 7 лет назад
  • AÇISAL MOMENTUM ÖRNEK ÇÖZÜMLERİ 7 лет назад
    AÇISAL MOMENTUM ÖRNEK ÇÖZÜMLERİ
    Опубликовано: 7 лет назад
  • Akışkanlar Mekaniği 1 | Lineer Momentum Denklemi Örnek Soru Çözümleri Canlı Yayın 1 месяц назад
    Akışkanlar Mekaniği 1 | Lineer Momentum Denklemi Örnek Soru Çözümleri Canlı Yayın
    Опубликовано: 1 месяц назад
  • İnsanlık Ne Zamandır Var? 4 дня назад
    İnsanlık Ne Zamandır Var?
    Опубликовано: 4 дня назад
  • Lineer Momentum Örnek 2 7 лет назад
    Lineer Momentum Örnek 2
    Опубликовано: 7 лет назад
  • VİSKOZ İÇ AKIŞLAR Bölüm #1: Temel Kavramlar 7 лет назад
    VİSKOZ İÇ AKIŞLAR Bölüm #1: Temel Kavramlar
    Опубликовано: 7 лет назад
  • Solved Exam Problem: Conservation Linear Momentum 5 лет назад
    Solved Exam Problem: Conservation Linear Momentum
    Опубликовано: 5 лет назад
  • Самый короткий тест на интеллект Задача Массачусетского профессора 5 лет назад
    Самый короткий тест на интеллект Задача Массачусетского профессора
    Опубликовано: 5 лет назад
  • Визуализация гравитации 10 лет назад
    Визуализация гравитации
    Опубликовано: 10 лет назад
  • Lineer Momentum Örneği 6 лет назад
    Lineer Momentum Örneği
    Опубликовано: 6 лет назад
  • Механизмы, которые должен знать КАЖДЫЙ инженер-механик 1 месяц назад
    Механизмы, которые должен знать КАЖДЫЙ инженер-механик
    Опубликовано: 1 месяц назад
  • Fluid Mechanics Lesson 06B: Linear Momentum, Fixed CV 3 года назад
    Fluid Mechanics Lesson 06B: Linear Momentum, Fixed CV
    Опубликовано: 3 года назад
  • MOMENTUM ANALİZİ -  (Bölüm #1) 7 лет назад
    MOMENTUM ANALİZİ - (Bölüm #1)
    Опубликовано: 7 лет назад
  • Akışkanlar Mekaniği Soru Çözümleri DOĞRUSAL MOMENTUMUN KORUNUMU -1 5 лет назад
    Akışkanlar Mekaniği Soru Çözümleri DOĞRUSAL MOMENTUMUN KORUNUMU -1
    Опубликовано: 5 лет назад
  • Introductory Fluid Mechanics L8 p5 - Example - Conservation of Linear Momentum - Part 1 10 лет назад
    Introductory Fluid Mechanics L8 p5 - Example - Conservation of Linear Momentum - Part 1
    Опубликовано: 10 лет назад
  • MOMENTUM ANALİZİ - (Bölüm #3) 7 лет назад
    MOMENTUM ANALİZİ - (Bölüm #3)
    Опубликовано: 7 лет назад
  • Hidrolik Türbinden Elektriksel Güç Üretimi 6 лет назад
    Hidrolik Türbinden Elektriksel Güç Üretimi
    Опубликовано: 6 лет назад
  • Теория струн (ScienceClic) 4 года назад
    Теория струн (ScienceClic)
    Опубликовано: 4 года назад
  • Akışkanlar Mekaniği 2 Soru çözümleri (Momentum) 5 лет назад
    Akışkanlar Mekaniği 2 Soru çözümleri (Momentum)
    Опубликовано: 5 лет назад

Контактный email для правообладателей: u2beadvert@gmail.com © 2017 - 2026

Отказ от ответственности - Disclaimer Правообладателям - DMCA Условия использования сайта - TOS



Карта сайта 1 Карта сайта 2 Карта сайта 3 Карта сайта 4 Карта сайта 5